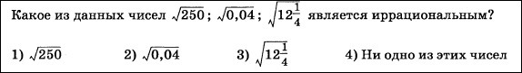
• какое число является иррациональным ( с обьяснением пожалуйста )

    question img

Ответы 2

  • Первое, потому что из 250 мы не можем извлечь квадрат.
  • √250- он не извлекается
  • Добавить свой ответ

Войти через Google

или

Забыли пароль?

У меня нет аккаунта, я хочу Зарегистрироваться

How much to ban the user?
1 hour 1 day 100 years