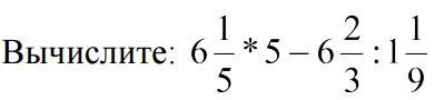
• Помогите решить (картинка), даю за ответ 35 баллов

    question img

Ответы 5

  • Чет ответы разные получились =D
    • Автор:

      boo bear
    • 6 лет назад
    • 0
  • Мой термин "Метеор", у второго комментатора неточно всё написано
    • Автор:

      luisvrbd
    • 6 лет назад
    • 0
  • блин, не туда,чувак,ответила
  • В ответе 32,4...вот...решила
    answer img
  • Как-то так это решается.
    answer img
  • Добавить свой ответ

Еще вопросы

Войти через Google

или

Забыли пароль?

У меня нет аккаунта, я хочу Зарегистрироваться

How much to ban the user?
1 hour 1 day 100 years