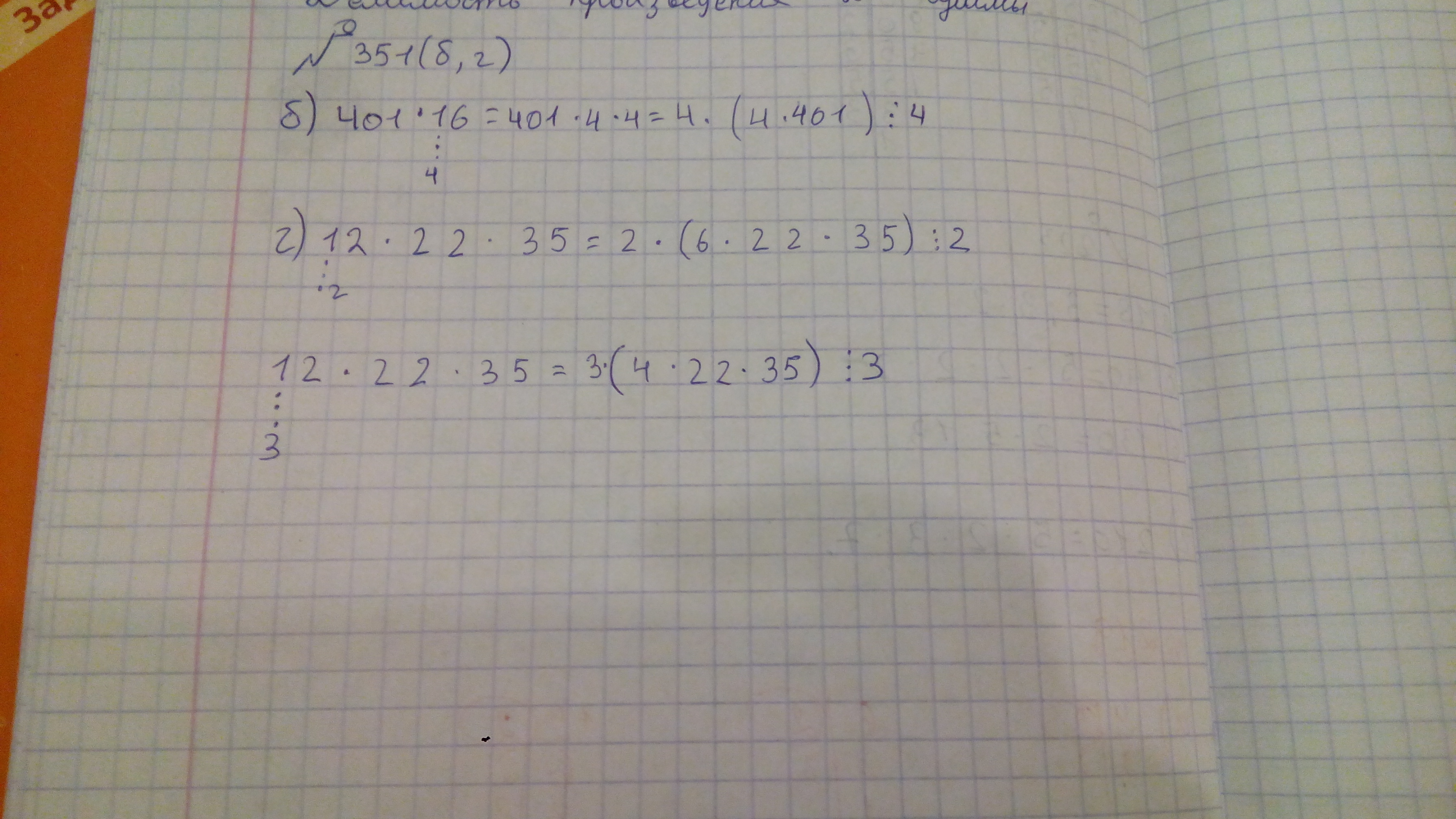
• Не выполняя действий, докажите, что произведение:
    а) 322*5 делится на 5
    б) 25*6*14 делится на 2, на 3, на 5, на 4, на 10.

    (Фотография это пример тако как надо сделать (мы так в классе делали и учительница сказала делать таким способом)) ПОЖАЛУЙСТА ПОМОГИТЕ Я НЕ УСПЕВАЮ СДЕЛАТЬ ЭТО ДЗ!!!!!)))))
    Спасибо заранее)))

    question img

Ответы 1

  • 322*5 второй множитель делится на 625*6,4 второй множитель делится на 2,3,4,5,10
    • Автор:

      jojoroth
    • 6 лет назад
    • 0
  • Добавить свой ответ

Войти через Google

или

Забыли пароль?

У меня нет аккаунта, я хочу Зарегистрироваться

How much to ban the user?
1 hour 1 day 100 years