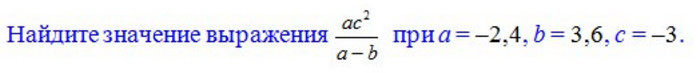
• Во 2 картинки надо найти корень уравнения)
    Help!

    question img
    question img

Ответы 1

  • 2x+5=13x+932x-13x+5=93-11x+5=93-6x=93x= - 15,5Ответ:  - 15,5
    • Автор:

      bunkyvhvs
    • 6 лет назад
    • 0
  • Добавить свой ответ

Еще вопросы

Войти через Google

или

Забыли пароль?

У меня нет аккаунта, я хочу Зарегистрироваться

How much to ban the user?
1 hour 1 day 100 years