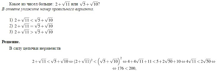
• просто объясните как здесь получилось 4√11 и 2√50
    и как впоследствии из этого вычислили ответ в виде чисел?

    question img

Ответы 2

  • не ту да посмотрела извините
    • Автор:

      ernie
    • 6 лет назад
    • 0
  • 4√11 =√16+11=√272√50=√50+4=√54отсюда 2√50> 4√11
    • Автор:

      pascual49
    • 6 лет назад
    • 0
  • Добавить свой ответ

Войти через Google

или

Забыли пароль?

У меня нет аккаунта, я хочу Зарегистрироваться

How much to ban the user?
1 hour 1 day 100 years