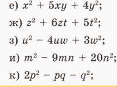
• Разложите трёхчлен на множители представляя один из его членов в виде суммы или разности подобных членов

    question img

Ответы 1

  • e) x² + 5xy + 4y² = x² +xy + 4xy + 4y² = x(x + y) + 4 y(x + y) = (x + y)(x + 4y)ж) z² + 6 zt + 5 t² = z² + zt +5 zt + 5 t² = z(z + t) +5t(z + t) = (z + t)(z + 5t)з) u² - 4 uw + 3w² = u² - uw - 3 uw + 3w² = u(u - w) - 3w(u - w) = (u - w)(u - 3w)и) m² - 9mn + 20n² = m² - 5mn - 4mn + 20n² = m(m - 4n) - 5n(m - 4n) = (m - 4n)(m - 5n)к) 2p² - pq - q² = 2p² - 2pq + pq - q²  = 2p(p - q) + q(p - q) = (p - q)(2p + q)
  • Добавить свой ответ

Войти через Google

или

Забыли пароль?

У меня нет аккаунта, я хочу Зарегистрироваться

How much to ban the user?
1 hour 1 day 100 years