• Найти производные.
    Прошу с ходом решения

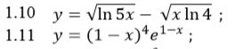
    к вопросу прилагаю фото.

    question img

Ответы 2

  • Спасибо, я еще в 11 сократила, вытащила (1-x)³ *e^(1-x) за скобки в конце :)
    • Автор:

      diego87
    • 6 лет назад
    • 0
  • 1.10применим формулу производной корня ( √х)' = 1/(2√х)  и  учтём, что под корнем стоит сложная функция.y' = 1/(2√ln5x) * (ln5x)' - 1/(2√x*ln4) * (x*ln4)' = =1/(2√ln5x) * 1/5x * (5x)' -1/(2√x*ln4) * ln4 = = 1/(2√ln5x) * 1/5x *5 - ln4/(2√x*ln4)= 1/(2√ln5x) * 1/x - ln4/(2√x*ln4)1.11применим формулу (UV)' = U'V + UV'  и учтём, что каждый множитель - сложная функция.y' = 4(1-x)³ * (1-x)' * e^(1-x) + (1-x)⁴ * e^(1-x) * (1-x)' = =- 4(1-x)³ *e^(1-x) - (1-x)⁴ * e^(1-x)
  • Добавить свой ответ

Войти через Google

или

Забыли пароль?

У меня нет аккаунта, я хочу Зарегистрироваться

How much to ban the user?
1 hour 1 day 100 years