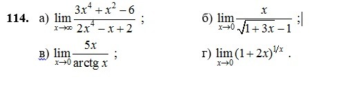
• помогите пожалуйста, и по подробнее если можно, а то вообще не шарю =\

    question img

Ответы 2

  • хорошо, в этом задании мой косяк есть, не использовать правило Лопиталя)
  • Если будут проблемы с пределами, пиши. С дифференциальными уравнениями тоже можешь обращаться)
    answer img
  • Добавить свой ответ

Войти через Google

или

Забыли пароль?

У меня нет аккаунта, я хочу Зарегистрироваться

How much to ban the user?
1 hour 1 day 100 years