• Найти производные.
    Прошу с ходом решения

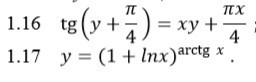
    к вопросу прилагаю фото.

    question img

Ответы 2

  • Большое спасибо!
    • Автор:

      chucky
    • 6 лет назад
    • 0
  • решение смотри во вложении
    answer img
    • Автор:

      mckay
    • 6 лет назад
    • 0
  • Добавить свой ответ

Еще вопросы

Войти через Google

или

Забыли пароль?

У меня нет аккаунта, я хочу Зарегистрироваться

How much to ban the user?
1 hour 1 day 100 years