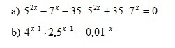
• Решите, пожалуйста, пример А ( пример в изображении)

    question img

Ответы 1

  • 5^2х=7^хх=х*log7(25)х=0
    • Автор:

      foxy lady
    • 6 лет назад
    • 0
  • Добавить свой ответ

Еще вопросы

Войти через Google

или

Забыли пароль?

У меня нет аккаунта, я хочу Зарегистрироваться

How much to ban the user?
1 hour 1 day 100 years