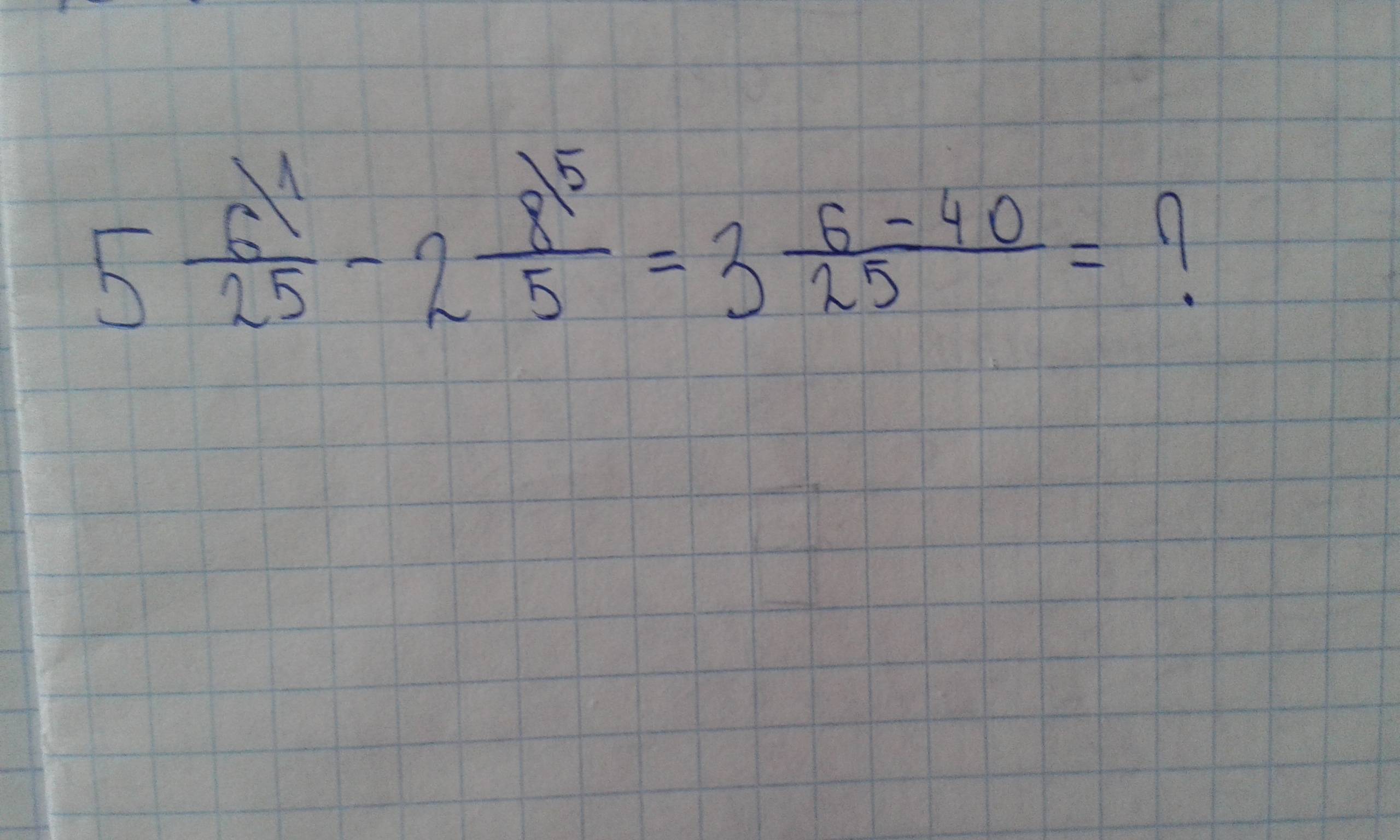
• решите пожалуйста и объясните как решать этот пример

    question img

Ответы 1

  • Сначала приводим к общему знаменателю,потом из трех берем 2 и складываем в уме 50 и 6 для выполнения вычитания.Ответ 1 16/25
    answer img
  • Добавить свой ответ

Войти через Google

или

Забыли пароль?

У меня нет аккаунта, я хочу Зарегистрироваться

How much to ban the user?
1 hour 1 day 100 years