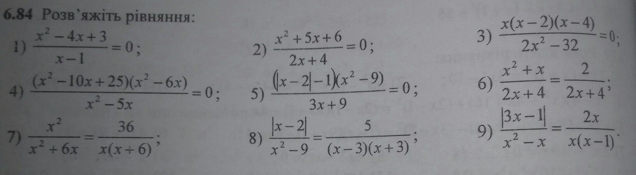
• Решить уравнения 2-6
    Если решите хотя бы 1 будет уже хорошо

    question img

Ответы 1

  • 2) 9x +10 = 0. 9x=0-10. 9x= -10. x=-10:9 оно не решаемо!
    • Автор:

      india46
    • 6 лет назад
    • 0
  • Добавить свой ответ

Войти через Google

или

Забыли пароль?

У меня нет аккаунта, я хочу Зарегистрироваться

How much to ban the user?
1 hour 1 day 100 years