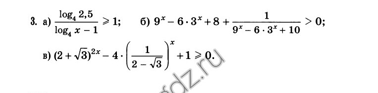
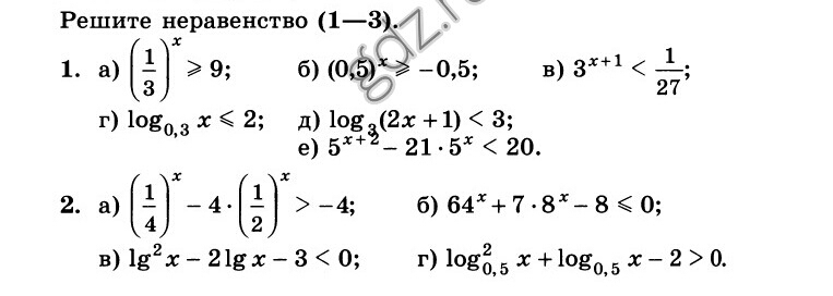
• Срочно! ЛОГАРИФМЫ ДАЮ 35 БАЛЛОВ! ПОДРОББНОЕ РЕШЕНИЕ

    question img
    question img

Ответы 2

  • Спасибо братааан
    • Автор:

      janae
    • 6 лет назад
    • 0
  • первые 2 задания. остальное лень. должно быть правильно
    answer img
  • Добавить свой ответ

Еще вопросы

Войти через Google

или

Забыли пароль?

У меня нет аккаунта, я хочу Зарегистрироваться

How much to ban the user?
1 hour 1 day 100 years