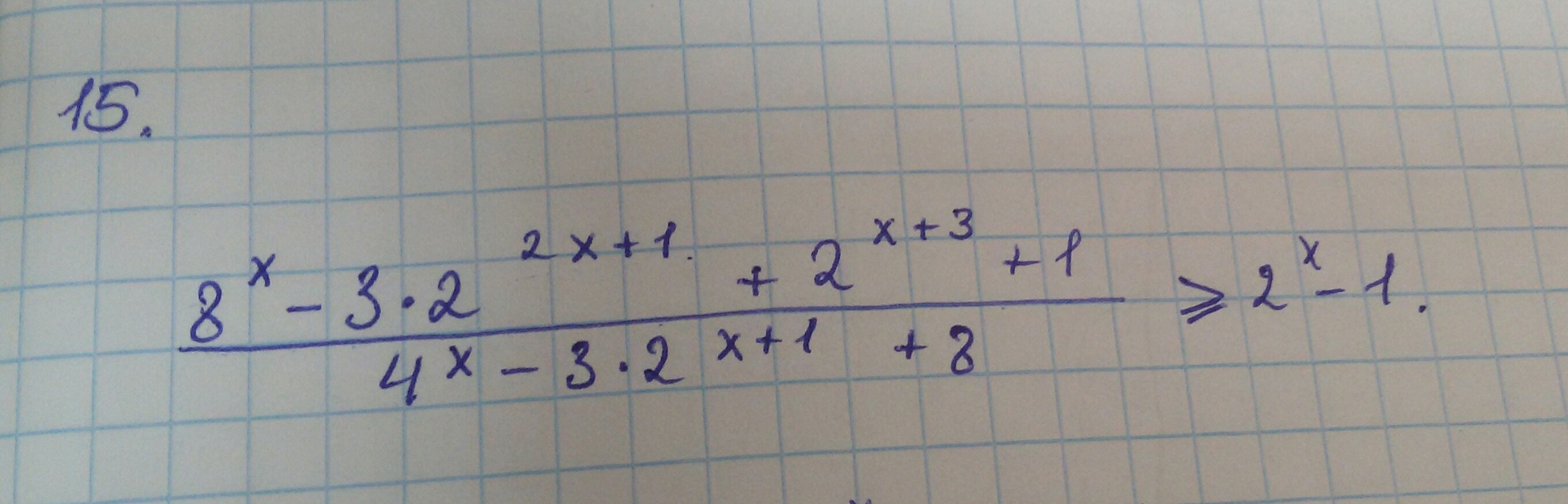
• Помогите пожалуйста решить алгебры! Тригонометрия. Срочно!

    question img

Ответы 1

  • Замена: t=2^x \frac{t^3-6t^2+8t+1}{t^2-6t+8} \geq t-1 \\   \frac{t^2-6t+9}{t^2-6t+8} \geq 0 \\   \\ 
 \left \{ {{(t^2-6t+9)(t^2-6t+8) \geq 0} \atop {t^2-6t+8 eq 0}} ight.  \\ t<2t=3t>4x<1x=log(2,3)x>2
    • Автор:

      liberty
    • 6 лет назад
    • 0
  • Добавить свой ответ

Войти через Google

или

Забыли пароль?

У меня нет аккаунта, я хочу Зарегистрироваться

How much to ban the user?
1 hour 1 day 100 years