• Объем конуса равен 98п, а его высота равна 6. Найдите радиус основания.

Ответы 1

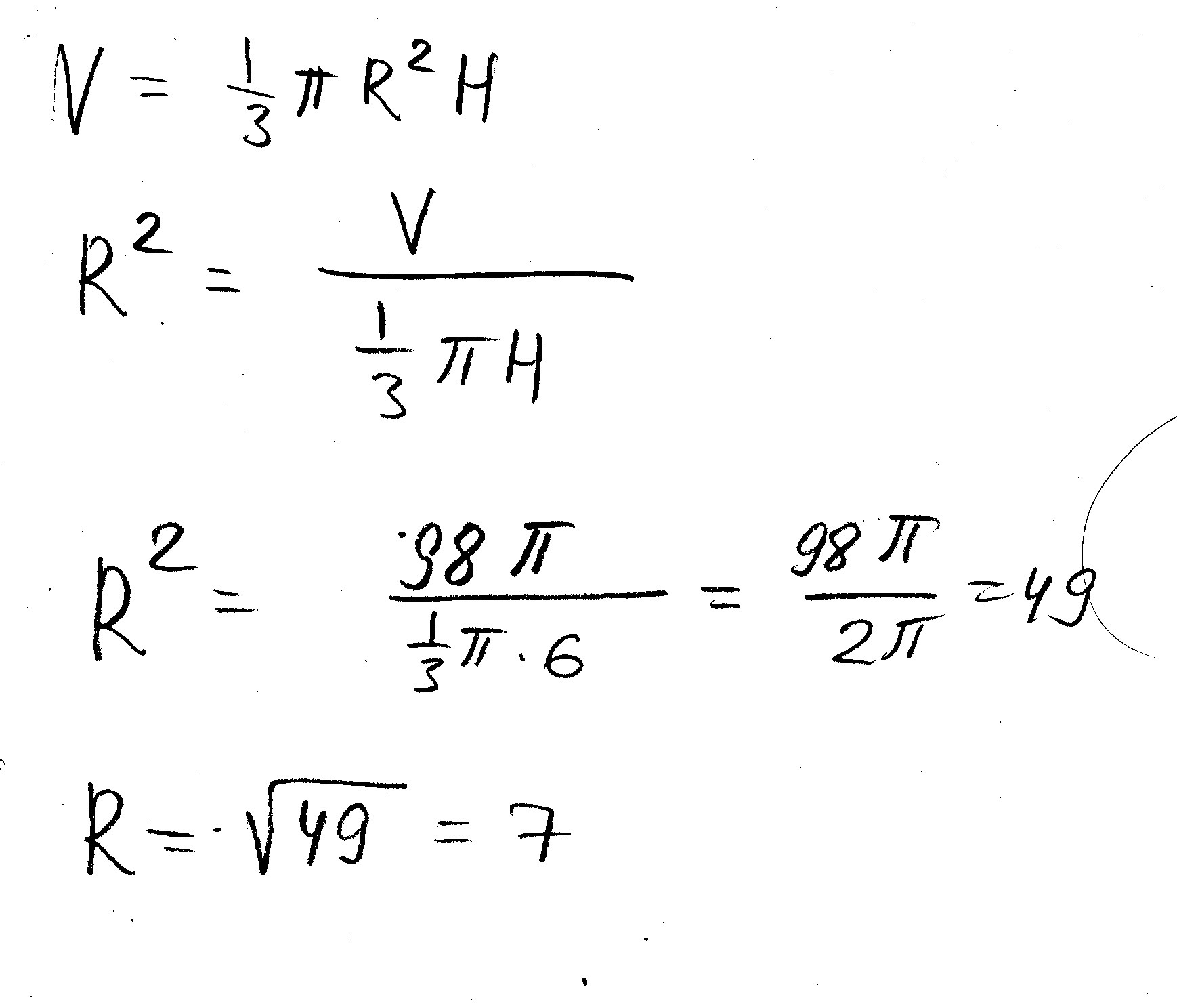
  • V=1/3пR^2H

    R^2=V: (1/3пH)

    R^2=98п: (1/3п*6)=98:2=49

    R=7

    answer img
    • Автор:

      haley9utz
    • 2 года назад
    • 6
  • Добавить свой ответ

Войти через Google

или

Забыли пароль?

У меня нет аккаунта, я хочу Зарегистрироваться

How much to ban the user?
1 hour 1 day 100 years