• Решите пример. Срочно!!! Дам 12 балов.
    Или хотя бы ответ

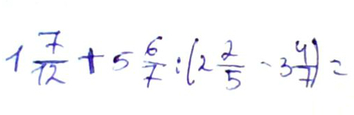
    question img

Ответы 1

  • 2 2/5-3 4/7=-(3 20/35-2 14/35)=-1 6/35;5 6/7÷(-1 6/35)=-41/35÷41/35=-1;1 7/12-1=7/12.
    • Автор:

      weiss
    • 6 лет назад
    • 0
  • Добавить свой ответ

Войти через Google

или

Забыли пароль?

У меня нет аккаунта, я хочу Зарегистрироваться

How much to ban the user?
1 hour 1 day 100 years