Ответы 2

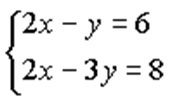
  • у=2х-6, тогда2х-3(2х-6)=82х-6х+18=8-4х=-10х=2,5у=2*2,5-6=-1
  • отнимем от первого второе уравнение:2y = -2y = -1подставим в первое:2x + 1 = 62x = 5x = 2,5Ответ: (2,5; -1)
    • Автор:

      lindsey3
    • 6 лет назад
    • 0
  • Добавить свой ответ

Войти через Google

или

Забыли пароль?

У меня нет аккаунта, я хочу Зарегистрироваться

How much to ban the user?
1 hour 1 day 100 years