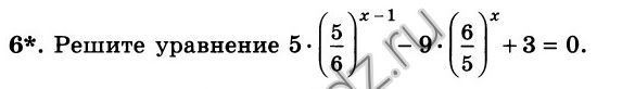
• Помогите решить уравнение по алгебре, 10 класс, срочно

    question img

Ответы 1

  • Обозначим (5/6)^x=y у больше 06*y-9/y+3=03y+6y^2-9=0y^2+0,5y=1,5(y+0,25)^2=1,25^2y=1  мли   y=-1,5  - это решение не годитсях=0Ответ:х=0
    • Автор:

      sugar8ofn
    • 6 лет назад
    • 0
  • Добавить свой ответ

Войти через Google

или

Забыли пароль?

У меня нет аккаунта, я хочу Зарегистрироваться

How much to ban the user?
1 hour 1 day 100 years