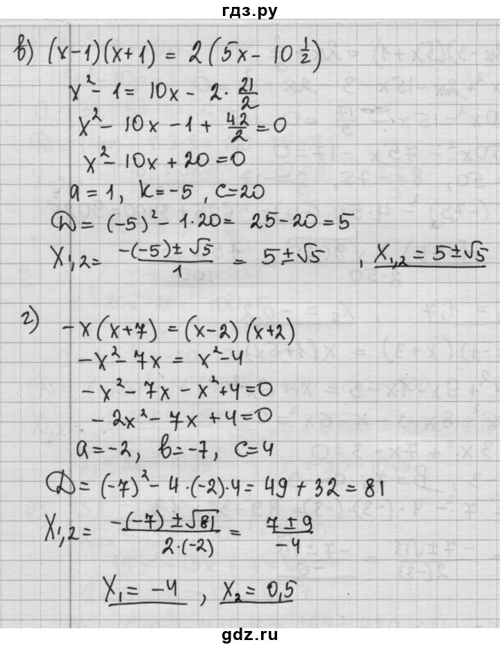
• Поясните пожалуйста уравнение
    х^2+х-х-1=10х-21
    х^2-10х+20=0
    а=1,в=-5 (???),с=20
    Почему вместо 10 ставят 5 ?
    Фото с "сайта", под буквой В)

    question img

Ответы 1

  • как произведено изменение (5 вместо 10), но в итоге ответ верный =)(х-1)(х+1) = 2 (5х - 10 \frac{1}{2} )(х-1)(х+1) = 2 (5х - 10,5)х² - 1 = 10х - 21х² - 10х - 1 + 21 = 0х² - 10х + 20 = 0D = 100 - 4*20 = 100 - 80 = 20 = (2√5)²x_1= \frac{10-2 \sqrt{5} }{2} = \frac{2(5- \sqrt{5} )}{2} =5- \sqrt{5}x_2= \frac{10+2 \sqrt{5} }{2} = \frac{2(5+ \sqrt{5} )}{2} =5+ \sqrt{5}
  • Добавить свой ответ

Войти через Google

или

Забыли пароль?

У меня нет аккаунта, я хочу Зарегистрироваться

How much to ban the user?
1 hour 1 day 100 years