• За один час две трубы наполнили бассейн объемом 22м3. Сколько кубометров заполнила первая труба, если 2м3 она заполнила на 3 мин быстрее, чем вторая труба заполнила 3м3?

Ответы 1

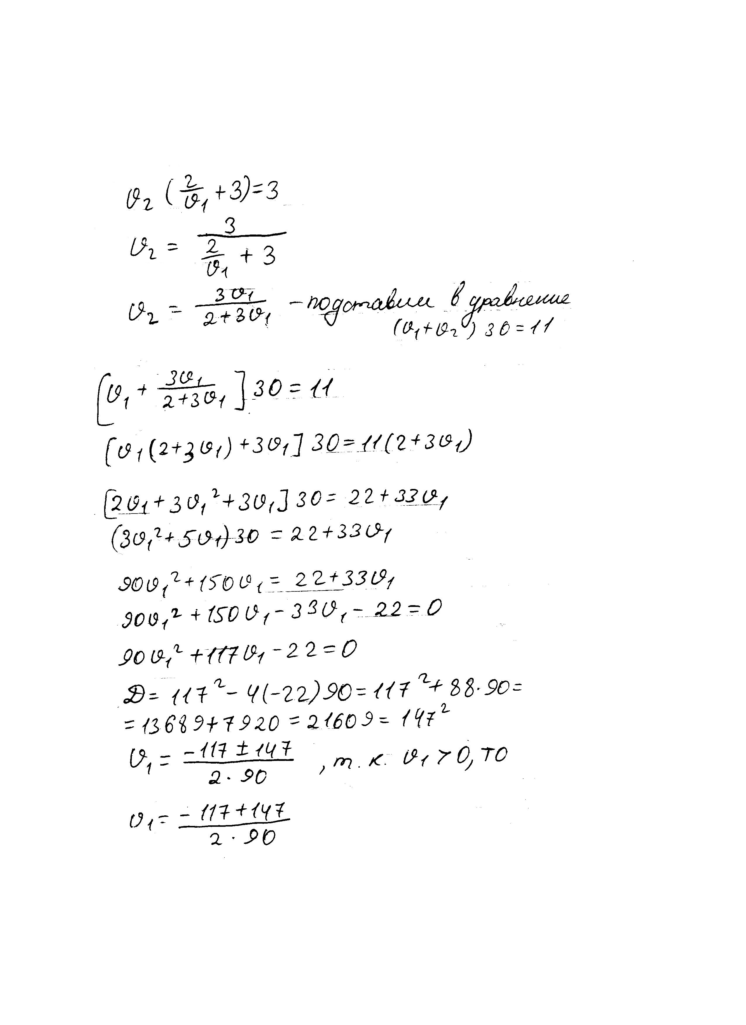
  • Решение в приложении. за 10 минут
    answer img
    answer img
    answer img
    • Автор:

      lillys64m
    • 2 года назад
    • 5
  • Добавить свой ответ

Еще вопросы

Войти через Google

или

Забыли пароль?

У меня нет аккаунта, я хочу Зарегистрироваться

How much to ban the user?
1 hour 1 day 100 years