• Помогите решить уравнения !!!!пожалуйста пожалуйста

    question img
    question img

Ответы 1

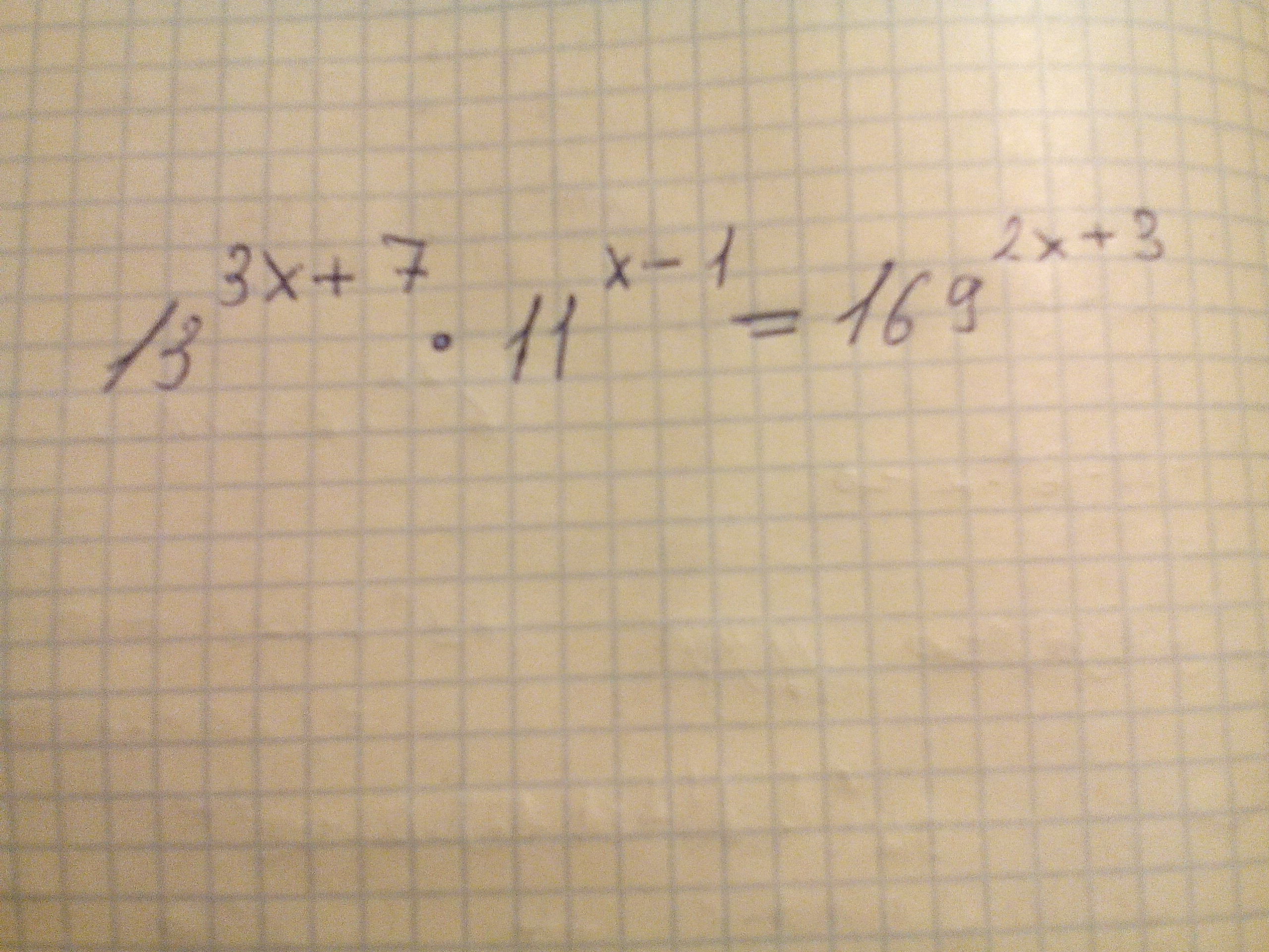
  • 169 = 13^2, поэтому 169^(2x+3) = 13^(4x+6)13^(3x+7)*11^(x-1)=13^(4x+6)Отсюда 11^(x-1)=13^(4x+6-3x-7)11^(x-1)=13^(x-1) , x = 1
    • Автор:

      nalad9tg
    • 6 лет назад
    • 0
  • Добавить свой ответ

Еще вопросы

Войти через Google

или

Забыли пароль?

У меня нет аккаунта, я хочу Зарегистрироваться

How much to ban the user?
1 hour 1 day 100 years