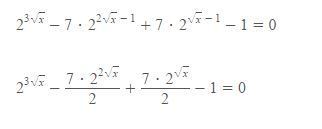
• почему во втором действии эти выражения делятся на 2? Подробно, пожалуйста

    question img

Ответы 2

  • помоги решить геометрию
    • Автор:

      arabella
    • 5 лет назад
    • 0
  • потому что корень квадратный
    • Автор:

      lucky66
    • 5 лет назад
    • 0
  • Добавить свой ответ

Войти через Google

или

Забыли пароль?

У меня нет аккаунта, я хочу Зарегистрироваться

How much to ban the user?
1 hour 1 day 100 years