• Решите уравнение, воспользовавшись основным свойством пропорции

    question img

Ответы 1

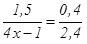
  •  \frac{1,5}{4x-1}= \frac{0.4}{2.4}1,5*2,4=(4x-1)*0,43.6=1.6x-0.43.6+0.4=1.6x4=1.6x1.6x=4x=4/1.6x=2.5
    • Автор:

      izzy43
    • 6 лет назад
    • 0
  • Добавить свой ответ

Войти через Google

или

Забыли пароль?

У меня нет аккаунта, я хочу Зарегистрироваться

How much to ban the user?
1 hour 1 day 100 years