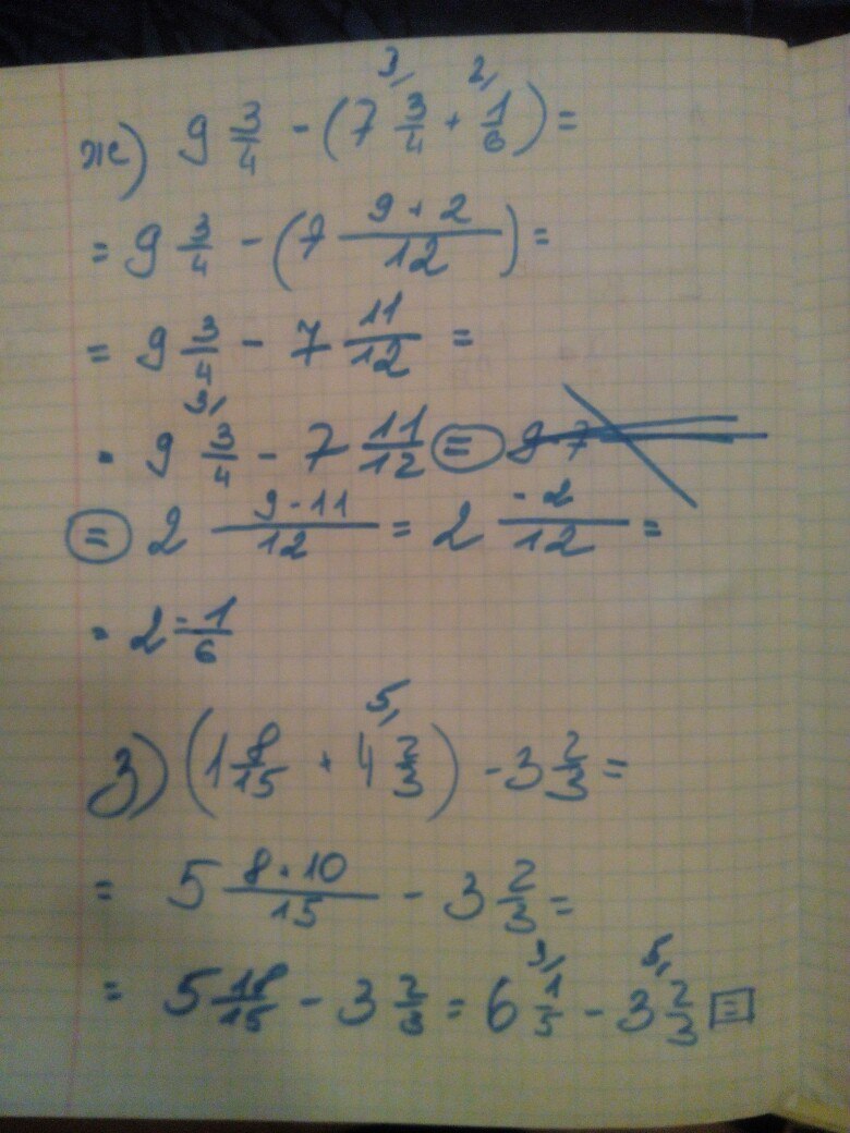
• выполни действия. Что общего в примерах каждого столбика? ж) 9 3/4-(7 3/4+1/6)=
    з)(1 8/15+4 2/3)-3 2-3=
    и) 3 5/12+2 1/3+7/12+5 2/3=
    заранее большое спасибо♡
    срочноооооо!!!!!!!!!!

Ответы 1

  • Воооооооот. Может что не правильное(
    answer img
    answer img
  • Добавить свой ответ

Войти через Google

или

Забыли пароль?

У меня нет аккаунта, я хочу Зарегистрироваться

How much to ban the user?
1 hour 1 day 100 years