• Возвести в степень. Комплексные числа.
    Решение представить в тригонометрической форме
    Номер 14

    question img

Ответы 1

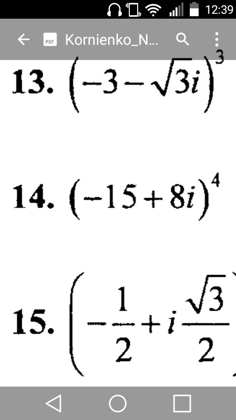
  • -3-\sqrt3i=2\sqrt3(-{\sqrt3\over2}-{1\over2}i)=2\sqrt3(cos{7\pi\over6}+isin{7\pi\over6})\\(2\sqrt3(cos{7\pi\over6}+isin{7\pi\over6}))^3=24\sqrt3(cos{7\pi\over2}+isin{7\pi\over2})=-24\sqrt3i\\\\(-15+8i)^4=((-15+8i)^2)^2=(225-240i-64)^2=\\=(161-240i)^2=25921-77280i-57600=-31679-77280i\\\\(-{1\over2}+i{\sqrt3\over2})^4=(cos{2\pi\over3}+isin{2\pi\over3})^4=cos{8\pi\over3}+isin{8\pi\over3}=-{1\over2}+i{\sqrt3\over2}
    • Автор:

      malik211
    • 5 лет назад
    • 0
  • Добавить свой ответ

Войти через Google

или

Забыли пароль?

У меня нет аккаунта, я хочу Зарегистрироваться

How much to ban the user?
1 hour 1 day 100 years