• ДАЮ 15 БАЛЛОВ МАТЕМАТИКА 6 КЛАСС
    нужны разъяснения !!

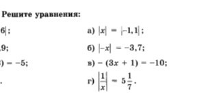
    question img

Ответы 1

  • а)|х|=|-1,1|х=-1,1х=-1,1 или х=1,1б)|х|=-3,7х=-3,7х=-3,7 или х=3,7в)незнаю
    • Автор:

      shaniya
    • 6 лет назад
    • 0
  • Добавить свой ответ

Войти через Google

или

Забыли пароль?

У меня нет аккаунта, я хочу Зарегистрироваться

How much to ban the user?
1 hour 1 day 100 years