• Срочно , нужно решение и ответ помогите пожалуйста.
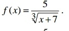
    Задача: найдите область определения функции.

    question img

Ответы 1

  • х+7 не равно 0;х не равно -7 ;D(f)=(от минус бесконечн. до -7) и (-7; до плюс бесконечности)
  • Добавить свой ответ

Войти через Google

или

Забыли пароль?

У меня нет аккаунта, я хочу Зарегистрироваться

How much to ban the user?
1 hour 1 day 100 years