• отдам баллы. ответ нужен срочно! я буду особо благодарна!!!

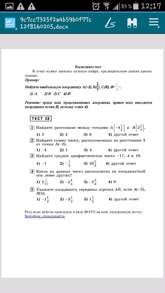
    question img
    question img

Ответы 1

  • 1. X=182. X=31/33. Ответ: первое 4. X=10/75. X=-33/5
  • Добавить свой ответ

Войти через Google

или

Забыли пароль?

У меня нет аккаунта, я хочу Зарегистрироваться

How much to ban the user?
1 hour 1 day 100 years