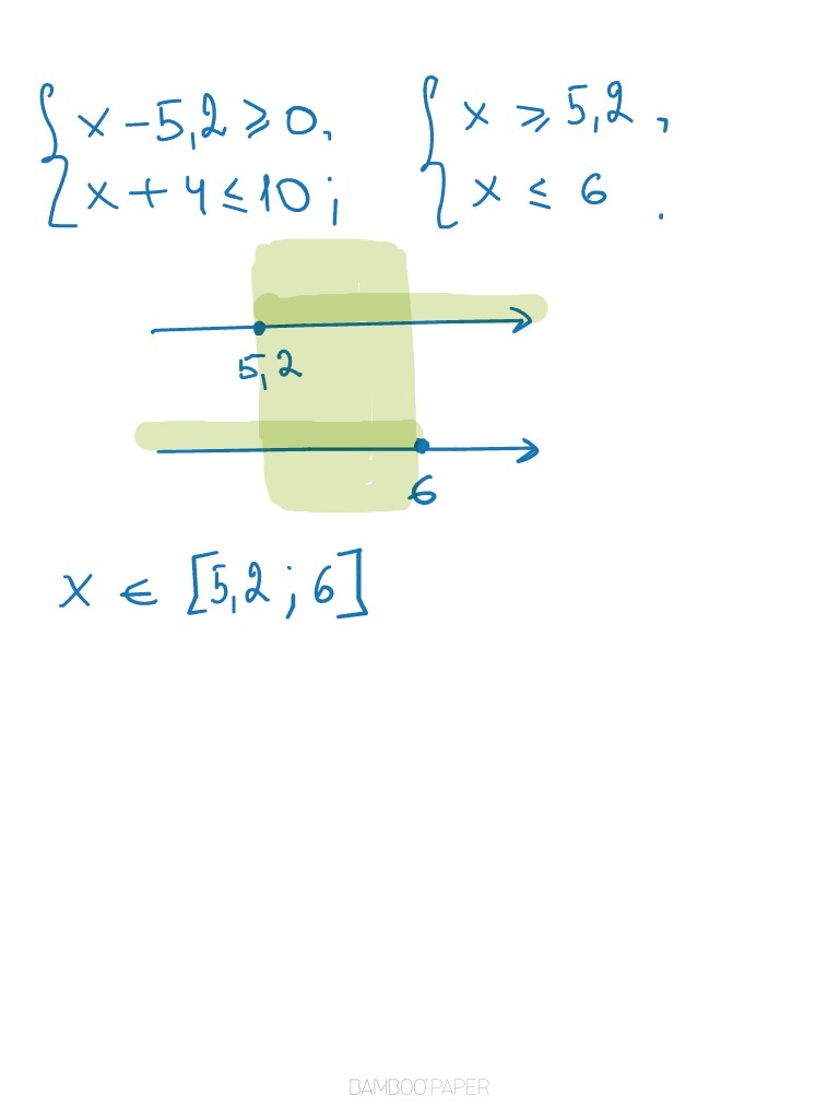
• укажите решение системы неравенств
    x-5,2≥0
    x+4 ≤ 10

Ответы 1

  • Решение данного задания
    answer img
    • Автор:

      andy955
    • 2 года назад
    • 0
  • Добавить свой ответ

Войти через Google

или

Забыли пароль?

У меня нет аккаунта, я хочу Зарегистрироваться

How much to ban the user?
1 hour 1 day 100 years