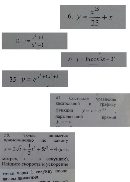
• Помогите, пожалуйста, решить 6, 12, 25, 35, 47, 58-ые задания. Очень нужно. Выручайте.

    question img

Ответы 1

  • 6)y'=x^{24}+112)y'= \frac{2x(x^2-1)-2x(x^2+1)}{(x^2-1)^2} =\frac{2x^3-2x-2x^3-2x}{(x^2-1)^2} =-\frac{4x}{(x^2-1)^2} 25)y'= \frac{-3sin3x}{cos3x}+3^x*ln 3=-3tg3x+3^x*ln3 y'(0)=-3tg0+3^0*ln3=ln335)df=f'(x)dxf'(x)=(3x^2+8x)e^{x^3+4x^2+3}df=((3x^2+8x)e^{x^3+4x^2+3})dx47)уравнение касательной - y=f(x_0) +f'(x_0)(x-x_0)у параллельный прямых одинаковые угловые коэффициенты, поэтому (x+e^{-2x})'=(-x)'1-2e^{-2x}=-1e^{-2x}=1x=0 - точка касанияf'(0)=1-2e^{-2x}=-1f(0)=0+e^0=1y=1-1(x-0)=1-x58)v(t)=s'(t)= \frac{1}{ \sqrt{t} } +t^2+10tv(1)=\frac{1}{ \sqrt{1} } +1^2+10=12a(t)=v'(t)=s''(t)=( \frac{1}{ \sqrt{t} } +t^2+10t)'=- \frac{1}{2x^{ \frac{3}{2} }}+2t+10 a(1)=- \frac{1}{2*1^{ \frac{3}{2} }}+2+10=12-0.5=11.5
    • Автор:

      sonia
    • 5 лет назад
    • 0
  • Добавить свой ответ

Войти через Google

или

Забыли пароль?

У меня нет аккаунта, я хочу Зарегистрироваться

How much to ban the user?
1 hour 1 day 100 years