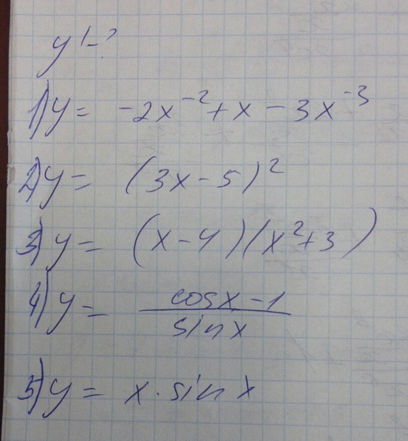
• Решить методом дефференцирования функции по формулам

    question img

Ответы 2

  • теперь я понимаю на сколько я туп но спасибо огромное за помощь
  • Не тупых , а ленивых))
    • Автор:

      ralph9wrh
    • 5 лет назад
    • 0
  • Добавить свой ответ

Войти через Google

или

Забыли пароль?

У меня нет аккаунта, я хочу Зарегистрироваться

How much to ban the user?
1 hour 1 day 100 years