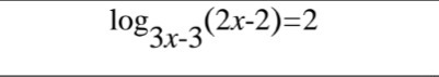
• Помогите пожалуйста решить логарифмическое уравнение

    question img

Ответы 2

  • Можно пожалуйста полное решение?
  • x=11/9 вот тебе и ответ
  • Добавить свой ответ

Еще вопросы

Войти через Google

или

Забыли пароль?

У меня нет аккаунта, я хочу Зарегистрироваться

How much to ban the user?
1 hour 1 day 100 years