• Подскажите пожалуйста как решить очень надо

    sin^4α+cos^2α+sin^2α*cos^2α

    cosα=3/5,0<α<п/2 Найти: sin α,ctgα.

    1-sin^2α/cos^2α-1 -1

    sin α=-21/25, 3п/2<α<2п найти: cos α, tg α

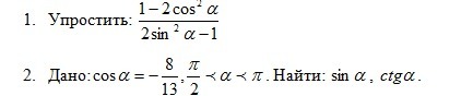
    question img
    question img

Ответы 2

  • Спасибо, разберусь
  • Это 1   ---- (1-cosα+cos2α)/(sin2α-sinα)=(2cos²α-cosα)/(2sinα*cosα-sinα)=cosα(2cosα-1)/sinα(2cosα-1)=cosα/sinα=ctgα.Это 2 -------------cos(2α+π)=cos²(α-π/2)+cos(α+π)·sin(α+π/2);⇒cos(2α+π)=-cos2α;cos²(α-π/2)+cos(α+π)·sin(α+π/2)=cos²(-(π/2-α))-cosα·cosα==sin²α-cos²α=-cos2α;⇒-cos2α=-cos2α;   -------------------- надеюсь ты поймёшь 
  • Добавить свой ответ

Войти через Google

или

Забыли пароль?

У меня нет аккаунта, я хочу Зарегистрироваться

How much to ban the user?
1 hour 1 day 100 years