• Пожалуйста!!Срочно!!
    Найдите значение выражения:

    question img
    question img

Ответы 1

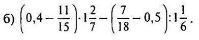
  • а.   (-15,64 : 4 3/5+7,1)*2 2/5=8,881)   -15,64 : 4 3/5= - 15,64:4,6= - 3,42)   -3,4+7,1=3,73)   3,7 * 2 2/5=3,7*2,4=8,88б.    (0,4-11/15) *1 2/7 - (7/18 -0,5): 1 1/6= -1/31)   0,4 - 11/15=2/5 - 11/15=6/15 -11/15= - 5/15= - 1/32)   -1/3 * 1 2/7= - 1/3 * 9/7= - 3/73))  7/18 -0,5=7/18 -1/2=7/18 - 9/18= - 2/18= - 1/94)   -1/9 : 1 1/6= - 1/9 * 6/7= - 2/215)   - 3/7 - (-2/21)= - 9/21+2/21= - 7/21= - 1/3
    • Автор:

      carter876
    • 6 лет назад
    • 0
  • Добавить свой ответ

Еще вопросы

Войти через Google

или

Забыли пароль?

У меня нет аккаунта, я хочу Зарегистрироваться

How much to ban the user?
1 hour 1 day 100 years