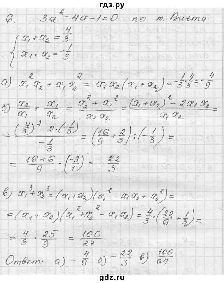
• Откуда в (в) взяли 22/9
    Пожалуйста очень срочно нужно

    question img

Ответы 1

  • Это дроб. Ее сделали не правельной. 22/9- это две целые и 4/9
  • Добавить свой ответ

Войти через Google

или

Забыли пароль?

У меня нет аккаунта, я хочу Зарегистрироваться

How much to ban the user?
1 hour 1 day 100 years