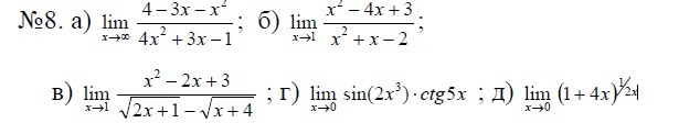
• Найти указанные пределы, не пользуясь правилом Лопиталя: нужно подробное решение,пожалуйста

    question img

Ответы 2

  • Спасибо большое)
    • Автор:

      leogeorge
    • 6 лет назад
    • 0
  • Решение смотрите в приложении
    answer img
    • Автор:

      dante9goo
    • 6 лет назад
    • 0
  • Добавить свой ответ

Войти через Google

или

Забыли пароль?

У меня нет аккаунта, я хочу Зарегистрироваться

How much to ban the user?
1 hour 1 day 100 years