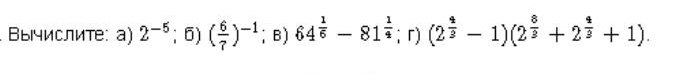
• Вычислите! (фотография)

    Помогите пожалуйста. Буду благодарна очень-очень сильно.

    question img

Ответы 1

  • А)1/32Б7/6В-25Г15Не за что
    • Автор:

      gates
    • 6 лет назад
    • 0
  • Добавить свой ответ

Войти через Google

или

Забыли пароль?

У меня нет аккаунта, я хочу Зарегистрироваться

How much to ban the user?
1 hour 1 day 100 years