• Кдр 7 класс,алгебра 1 вариант 2017 год.Кто решит,получит 15 балов,просьба так же найти другие варианты и ответ,спасибо

    question img
    question img

Ответы 1

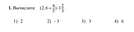
  • 1)3 2)723)2m²+2n²4)65)26)247)708)2
  • Добавить свой ответ

Войти через Google

или

Забыли пароль?

У меня нет аккаунта, я хочу Зарегистрироваться

How much to ban the user?
1 hour 1 day 100 years