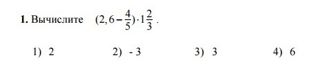
• Кдр 7 класс,алгебра 1 вариант 2017 год.Кто решит,получит 15 баллов.

    question img
    question img

Ответы 1

  • Решение во вложении.

    answer img
    • Автор:

      bebeobcr
    • 6 лет назад
    • 0
  • Добавить свой ответ

Войти через Google

или

Забыли пароль?

У меня нет аккаунта, я хочу Зарегистрироваться

How much to ban the user?
1 hour 1 day 100 years