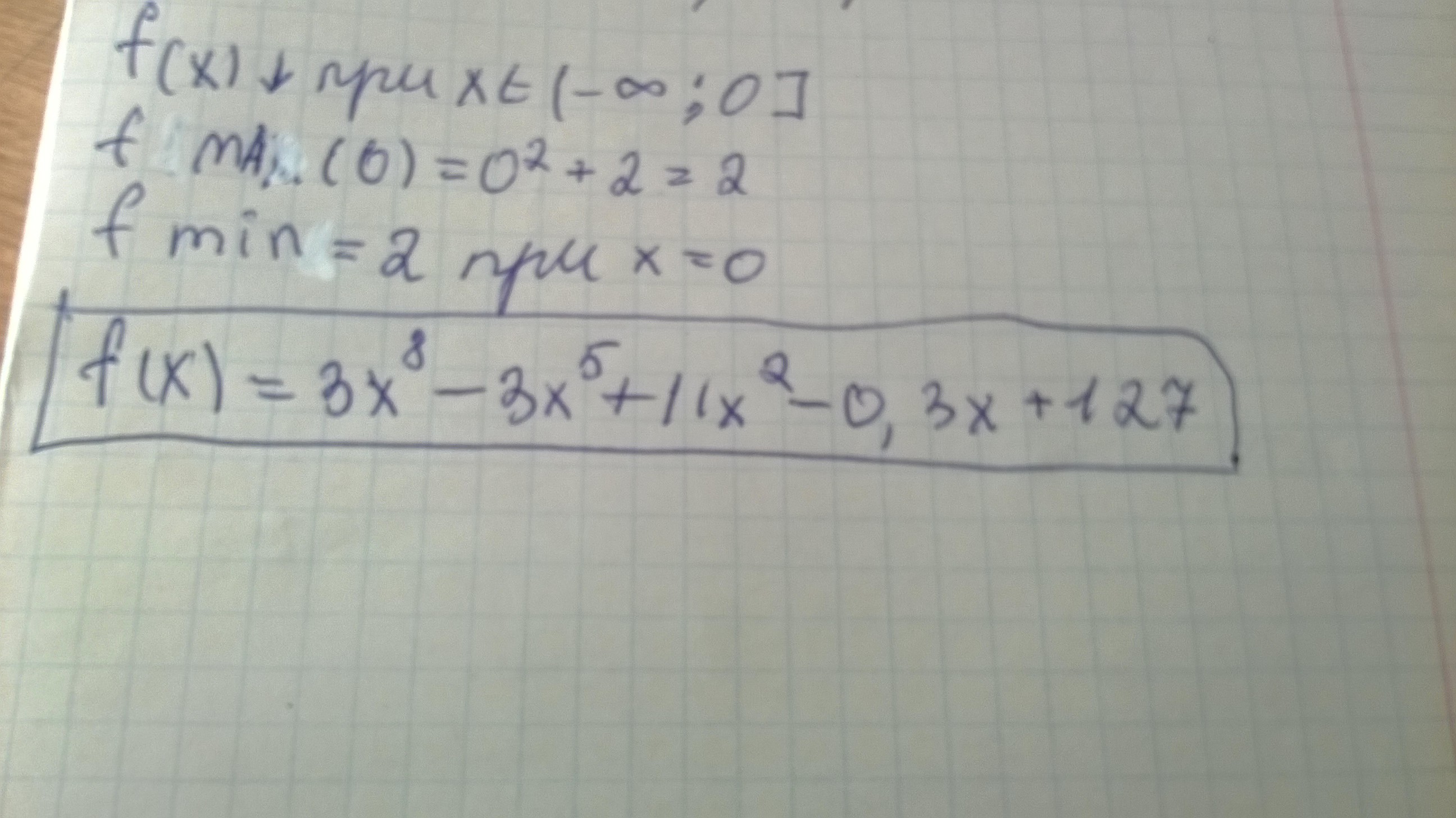
• Помогите решить то что обведено, срочно надо, чем проще решено тем лучше
    Задача найти производную заданной функции.

    question img

Ответы 1

  • производная равна:  3*8x^7-3*5x^4+11*2x-0,3=24x^7-15x^4+22x-0,3. производная константы равна 0.
    • Автор:

      lozano25
    • 6 лет назад
    • 0
  • Добавить свой ответ

Войти через Google

или

Забыли пароль?

У меня нет аккаунта, я хочу Зарегистрироваться

How much to ban the user?
1 hour 1 day 100 years