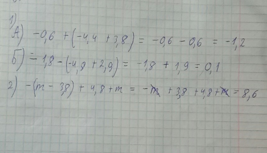
• 1. Раскройте скобки и найдите значение выражения:
    А) -0,6+(-4,4+3,8)
    Б) -1,8-(-4,8+2,9)
    2. Упростить выражение:
    -(m-3,8)+(4,8)+m

Ответы 1

  • вот, держи, ответ на фото
    answer img
    • Автор:

      ace45gh
    • 2 года назад
    • 18
  • Добавить свой ответ

Еще вопросы

Войти через Google

или

Забыли пароль?

У меня нет аккаунта, я хочу Зарегистрироваться

How much to ban the user?
1 hour 1 day 100 years