• ПОЖАЛУЙСТА!СРОЧНО!БУДУ ОЧЕНЬ БЛАГОДАРНА!
    Найдите значение выражения
    1)5ab при a= -1,2; b=4.
    2)3-х при х= -5.
    Вычислите:

    question img

Ответы 1

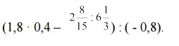
  • 1)5ab при a= -1,2; b=4.5*(-1,2)*4=-6*4= - 242)3-х при х= -5.3-(-5)=3+5=8(1,8*0.4-2 \frac{8}{15} :6 \frac{1}{3} ):(-0.8)=(0.72- \frac{38}{15}* \frac{3}{19}  ):(-0.8)=(0.72- \frac{2}{5} ): \\ :(-0.8)=(0.72-0.4):(-0.8)=0.32:(-0.8)=-0.4
    • Автор:

      brett
    • 6 лет назад
    • 0
  • Добавить свой ответ

Еще вопросы

Войти через Google

или

Забыли пароль?

У меня нет аккаунта, я хочу Зарегистрироваться

How much to ban the user?
1 hour 1 day 100 years