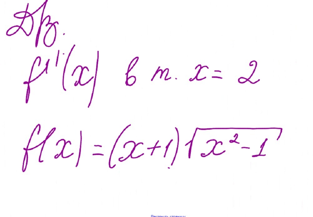
• Привет ребята помогите с производной с подробным решением

    question img

Ответы 3

  • нет не правильно
  • 1)(х+1), т.е (2+1)=32) Корень 2 в квадрате - 1,это будет 33)Теперь нужно 3 умножить на корень из трех,а это три корня из трех Ответ 3√3
  • Находим производную, подставляем точку.Формулы:(u*v)' = u'v + uv'(√u)' = u' / 2*√uПроизводная:f'(x) = 1 * √(x²-1) + (x+1) * 2x/2*√(x²-1) = √(x²-1) + (x+1)*x/√(x²-1) = (x²-1+x²+x)/√(x²-1) = (2x²+x-1)/√(x²-1), т.е: f'(x) = (2x² + x - 1)/√(x²-1)Подставляем точку:f'(2) = (2*4+2-1)/√(4-1) = 9/√3 = 3√3
  • Добавить свой ответ

Еще вопросы

Войти через Google

или

Забыли пароль?

У меня нет аккаунта, я хочу Зарегистрироваться

How much to ban the user?
1 hour 1 day 100 years