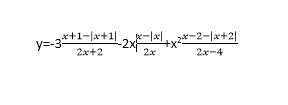
• Упростите выражение, и если можете начертите график этой функции

    question img

Ответы 1

  • Тут где-то ошибкаОно не упростится
    • Автор:

      daviddzet
    • 5 лет назад
    • 0
  • Добавить свой ответ

Войти через Google

или

Забыли пароль?

У меня нет аккаунта, я хочу Зарегистрироваться

How much to ban the user?
1 hour 1 day 100 years