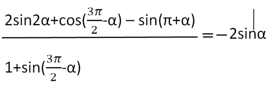
• Помогите!!!!!Доказать тождество :

    question img

Ответы 1

  • В задании опечатка.В числителе должно быть не минус sin (пи+а),а плюс sin (пи+а),иначе не получится. решение задания смотри на фотографии
    answer img
    • Автор:

      shadow94
    • 6 лет назад
    • 0
  • Добавить свой ответ

Войти через Google

или

Забыли пароль?

У меня нет аккаунта, я хочу Зарегистрироваться

How much to ban the user?
1 hour 1 day 100 years