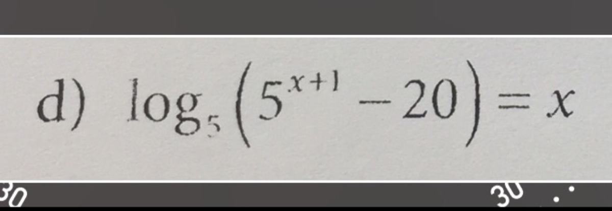
• Помогите пожалуйста решить логарифмическое уравнение СРОЧНОООО

    question img

Ответы 1

  • ОДЗ: 5^(х+1)-20>05*5^х>205^х>45^х>5^(log5 (4))x>log5(4)_______________5^x=5^(x+1) - 205^x=5*5^x - 204*5^x=205^x=55^x=5^1x=1Ответ: 1
  • Добавить свой ответ

Войти через Google

или

Забыли пароль?

У меня нет аккаунта, я хочу Зарегистрироваться

How much to ban the user?
1 hour 1 day 100 years