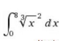
• решите определенный интеграл.
    Подробно пожалуйста.

    question img

Ответы 2

  • Другими словами, "две трети плюс один"
  • 2 в степени 5 - это от 8 в степени 5/3. Так как 8=2^3, то легко можно подвести куб под корень третьей степени и сократить показатели. Остаётся пятёрка.
  • Добавить свой ответ

Войти через Google

или

Забыли пароль?

У меня нет аккаунта, я хочу Зарегистрироваться

How much to ban the user?
1 hour 1 day 100 years