• Здравствуйте, помогите решить домашнее задание.
    Тема: Интеграл.
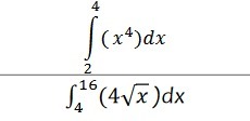
    Вычислите:

    question img

Ответы 1

  •  \int\limits^4_2 {x^4} \, dx = \frac{x^5}{5}\Big |_2^4= \frac{1}{5} \cdot (4^5-2^5)= \frac{1}{5} \cdot 992=198,4\\\\ \int\limits^{16}_4 \; {(4\sqrt{x})} \, dx =4\cdot  \frac{x^{\frac{3}{2}}}{\frac{3}{2}} \Big |_4^{16}= \frac{8}{3}\cdot (16^{\frac{3}{2}} -4^{\frac{3}{2}})= \frac{8}{3}\cdot (4^3-2^3)= \frac{448}{3}
  • Добавить свой ответ

Еще вопросы

Войти через Google

или

Забыли пароль?

У меня нет аккаунта, я хочу Зарегистрироваться

How much to ban the user?
1 hour 1 day 100 years