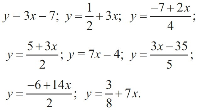
• Укажите, какие из графиков приведённых функций параллельны или пересекаются:
    вот фото умоляю помогите

    question img

Ответы 1

  • Параллельны будут графики линейной функции у=кх+b, у которых к - одинаковое число.

    Это  1). у=3х-7,   у=3х+1/2

             2). у=7х-4.  у=7х+3/8, у= --6+14х/2( т.к. это у=7х-3)

    графики функций, у которых к разные. пересекаются

    • Автор:

      devan
    • 6 лет назад
    • 0
  • Добавить свой ответ

Войти через Google

или

Забыли пароль?

У меня нет аккаунта, я хочу Зарегистрироваться

How much to ban the user?
1 hour 1 day 100 years