• Здравствуйте, помогите пожалуйста решить домашнее задание по теме : «Иррациональные уравнения».

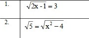
    Найдите корни уравнения.

    question img

Ответы 2

  • под знаком квадратного корня не может стоять число меньше нуля, поэтому сначала находим ОДЗ (область допустимых значений) или область определения
    • Автор:

      nehemiah
    • 6 лет назад
    • 0
  • √2х-1=3найдем область определения (или ОДЗ): 2х-1 ≥0 ⇒ 2х ≥ 1 ⇒ х≥0,5х∈[0,5 ; +∞) - область определения(чтобы избавиться от знака квадратного корня, возведем обе части уравнения в квадрат)(√2х-1)² =3²2х-1 = 92х= 9+12х =10х=10:2х=5Ответ: х=52) √5 = √х²-4х²-4≥0  ⇒ х² ≥ 4  ⇒  √4 ≤ х ≤ -√4  ⇒  2≤ х≤ -2  х∈(-∞; -2]∪[2 ; +∞) - область определения(√5 )² = (√х²-4)²5 = х² -4х² = 5+4х² = 9х=-3   и  х= 3Ответ: х= -3, х=3
    • Автор:

      irene13
    • 6 лет назад
    • 0
  • Добавить свой ответ

Войти через Google

или

Забыли пароль?

У меня нет аккаунта, я хочу Зарегистрироваться

How much to ban the user?
1 hour 1 day 100 years